本文用多种方法解决经典题目,请大家欣赏。
公式美颜术
为了解决已知三角形的三边求面积这一类型的问题,南宋数学家秦九韶提出了三斜求积公式。虽然秦九韶公式很有特点,但的确 不美。受到下图“凤姐变冰冰,中间只隔了个Angelababy”的启发,能否对秦九韶公式做个美颜手术呢?

图片
有了这个想法,说干就干。
美颜的思路是去掉根号内的分母,手术过程请看下图:

图片
这就是美颜版的秦公式,美丽吗?我觉得还行,既变美了,还保留了自身的特质。去掉分母后,书写和排版都更方便,更美观大方。
题目呈现
有一道题目很经典,中外数学家都喜爱拿它当作例题,就是下面的例题:
已知三角形ABC的三边长为连续自然数13,14,15,求此三角形的面积。
古希腊的海伦和之后的一位中亚数学家,以及更晚的秦九韶,都用这个题目作例题,并推出自己的面积公式。
接下来我们也用这个题目来探究它的多种解法。
解法一
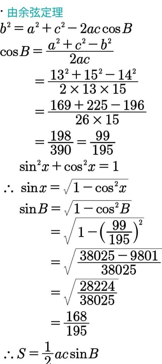
第一请看解法一:余弦定理法。
解法的原理和解题过程请看下图。

图片

图片(另外一个分支)
如图所示,用余弦定理可以求出
p=BD=acosB=13× 99/195=1287/195=6.6
再用勾股定理可以求出高为11.2,就容易求出三角形的面积了。
《几何原本》中的余弦定理
以上我们见识了余弦定理的威力,再看看它最初的模样。
最早的余弦定理是《几何原本》第二卷的命题12和命题13里的几何形式。
苏联教育家苏霍姆林斯基说过,直观是认识的途径,是照亮认识途径的光辉。借助几何的直观,第一说一下余弦定理的几何意义。
《几何原本》第二卷的命题12和命题13就清晰地表达了余弦定理的几何意义。三角形分为三种,直角三角形,钝角三角形和锐角三角形。命题12对应钝角三角形,命题13对应锐角三角形,直角三角形的余弦定理就是勾股定理。所以可以说,余弦定理是勾股定理的推广和一般化。
命题12 在钝角三角形中,钝角所对边上的正方形比夹钝角的两边上的正方形之和大一个矩形的二倍,该矩形为钝角的一边向外延长并作垂线,垂足所在的钝角边与垂足到钝角顶点之间的直线所围成的矩形。
设ABC是钝角三角形,角BAC为钝角,从点B作BD垂直于CA的延长线; 我说,BC上的正方形比BA、AC上的正方形之和大CA、AD所围成矩形的二倍。
图片

如图所示,余弦定理相当于勾股定理加上一个修正项。这个修正项是2abcosC。怎么理解呢?可以看作2个全等矩形的面积。矩形的一条边是CA,另外一边是AD。AD也可以看作AB边在CA边延长线上的射影。
图片

命题13 在锐角三角形中,锐角对边上的正方形比夹锐角两边上的正方形之和小一个矩形的二倍,该矩形为另一锐角向对边作垂线,垂足所在的锐角边与垂足到原锐角顶点之间的直线所围成的矩形。
设ABC是一个锐角三角形,B处的角为锐角,从点A作AD垂直于BC; 我说,AC上的正方形比CB、BA上的正方形之和小CB、BD所围成矩形的二倍。
BC是锐角的一条边,BD是锐角的另外一边AB在BC边上的射影。
cosC取值范围在-1和1之间,直角的情形就等于0。所以,ab看作长方形面积,乘以cosC后,面积肯定变小,相当于变成平行四边形,面积被压缩了。正负号告知我们,钝角三角形加上修正项,锐角三角形则减去修正项。
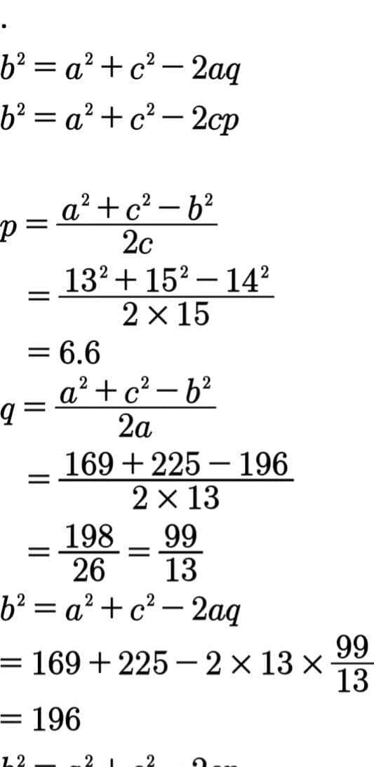
这两个命题可以用一个公式来表达,数学语言比文字语言更醒目更直观:
b=a+c-2cp (p=BD)
写成下面这样也可以:
b=a+c-2aq (q=BE)
不要抱怨它和课本里的余弦定理长得不一样,欧几里得已经干得很不错了。三角形式的余弦定理还在静静等待法国数学家韦达的发现。
在见识了欧几里得的几何形式余弦定理后,我们来验证一下上面的欧几里得的代数形式的余弦定理。
用经典例题的三角形来验证,过程请看下图:
图片

钝角三角形的验证:
图片

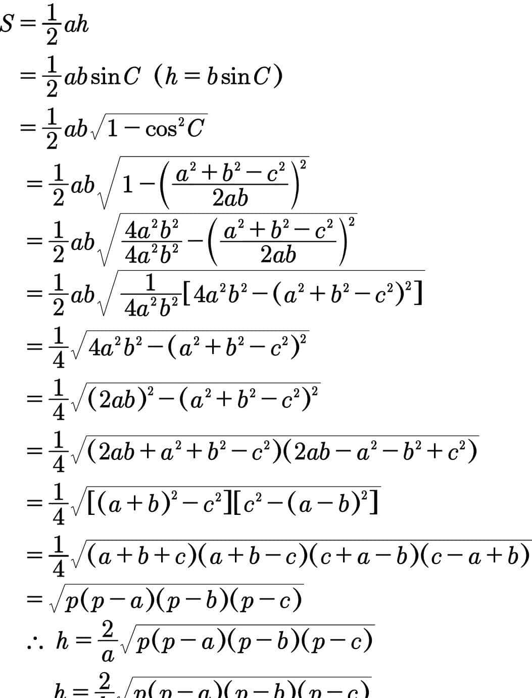
解法二:公式法
用海伦公式可以轻松求出面积。
说说公式的推导过程,请看下图:
图片

如图所示,根据海伦公式求高很方便。

田恺
还有一个田恺公式。中学生田恺独自推导发现的公式。当然,许多经验丰富的中学数学老师早就知道这个公式。

解法三
用勾股定理和方程求面积。这种解法涉及的知识点比较少,容易掌握。
图片

已知a=BC=15,c=13,b=14。设x=BD,h=AD
h是两个直角三角形的公共边,可以用勾股定理列方程求x
13²-x²=14²-(15-x)²
30x=225+169-196
x=198÷30=6.6
h²=13²-6.6²=169-43.56=125.44
开平方得h=11.2
S=½×15×11.2=84
题目做完后的工作
题目做完后就万事大吉了吗?我们还有工作可以做。那就是深入思考,做题的经验能否升华,是否可以总结为一个公式呢?
程序员的算法可以用几行代码来表达,我们刚才的算法可以提炼为一个公式。有了公式就得到了万能钥匙,可以大大提高解题效率,更不需要冥思苦想。后来遇到同类型题目就能秒杀。
请看下图:
图片


到此为止,美颜版的秦九韶公式又出现了。看前面的图片,我们知道继续推导,使用公式法和分组法分解因式,可以推出海伦公式。不愿意重复前面的内容,就到此为止吧。
推荐阅读:
https://m.toutiao.com/is/rJPR4xk/ – 茅台变矿泉——天上掉下余弦定理(数学的神韵) – 今日头条
值得注意的是,上面的文章链接有一张图很精彩,是余弦定理的无字证明。
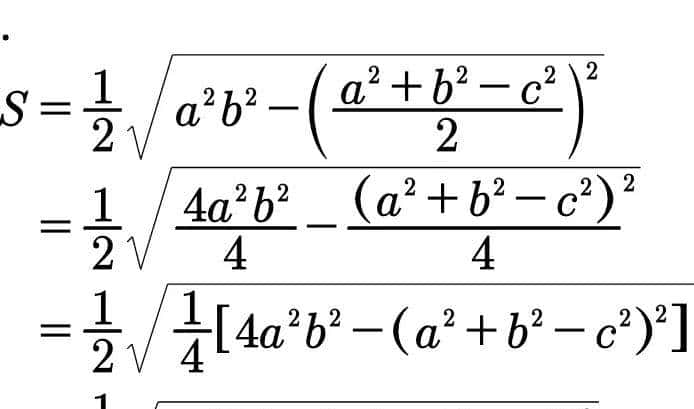
秦公式的证明
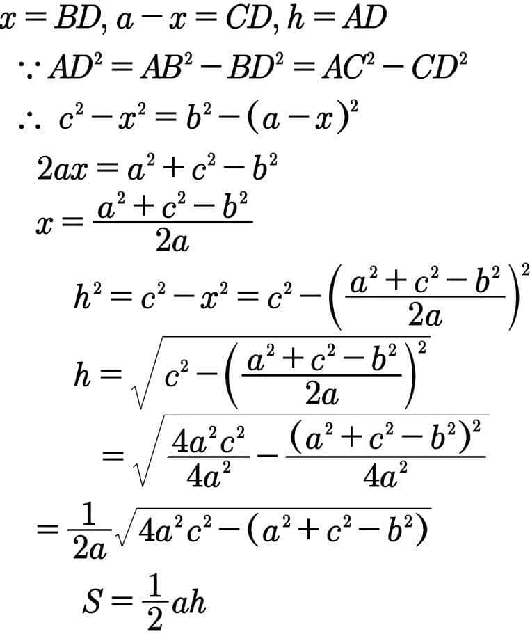
当我们看到下面的秦公式的时候,第一感觉得形式有点古怪,好奇心驱使我们想知道它的来历。看了前面用余弦定理推导海伦公式的内容,会产生一种很简单直接的想法,可以迅速推出秦公式。
简单说就是,把任意三角形选择一个底边,另外两个边就称为两腰。求其中一个腰在底边的射影,就能够求高,面积就求出来了。求射影最合适的解题工具莫过于余弦定理了。
射影公式告知我们:a=bcosC+ccosB
意思是三角形的底边是a,两腰是b和c。b在底边的射影=bcosC,c在底边的射影=ccosB。
用余弦定理求射影很简单,再用勾股定理求出高,再用公式S=½ah就能够组装出秦公式,再整理化简,就是秦公式的最终版。
具体过程请看下图:
图片

当然,我们熟悉余弦定理,容易想到上面的思路,但是,绝不会是秦九韶的方法。
最后的话
古希腊不存在函数,《几何原本》绝不可能出现cos A,但是有余弦定理已经是难能可贵。老一辈数学家回忆中学时代,当时的数学是三门课,分为代数,几何和三角。通过以上对经典题目的赏析,我们可以体会到这三门课是有相互联系的。推荐阅读张景中的著作《一线串通的初等数学》。
同学们要学好函数,为后来的课程打好基础。有了函数,运动和变化进入了数学,函数成为古典数学和近代数学的一道分水岭,同学之间的成绩分化也往往由此开始。

《普林斯顿微积分读本》截图
微积分如果有营养成分表,那么,函数在表中占有重大地位。

截图2
科学尚未普及,媒体还需努力。感谢阅读,再见。














- 最新
- 最热
只看作者