
初中学习平面几何时,我们曾经学过三角形的三边边长固定,那么这个三角形就是固定形状了,理论上各个相关属性也都是固定的,列如面积,中线长度,每个边 的高,角度平分线等等。
理论如此,那我们计算三角形面积公式需要计算高,那么我们就要开始设未知数,用勾股定理,来方程组来解出高,然后再计算面积。
可以计算出来,但是会有一些麻烦。大家可以证明一下看看。

很巧的是,在两千年前,古希腊有个数学家海伦也这么想。他就归纳出一个公式,根据三边长直接计算三角形面积,这个公式的名字就以他命令了,海伦公式。
在中国南宋时期,有个数学家秦九韶也在他的著作里提出一个利用三角形三边求面积的公式,被称呼为“秦九韶公式”,也叫三斜求积公式。这个公式和海伦公式是等价的,所以海伦公式也被称呼为海伦-秦九韶公式。
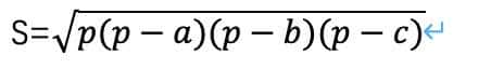
海伦公式是这样的,如果一个三角形的三边长为a,b,c,设p=(a+b+c)/2,则三角形的面积:

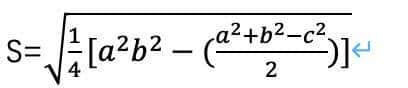
而秦九韶公式是:

从简洁易算来说,海伦的写法更胜一筹。
那海伦是谁呢?
提到海伦,再加一个词古希腊,让我想到的是一个倾国倾城的大美女——特洛伊战争里的世界上最美丽的女性,海伦。这是一个希腊神话故事,我只记得金苹果,希腊众神,特洛伊长达10年的战争,《荷马史诗》里描述海伦的美貌并没有正面描述,而是侧面描写,当战争进行到第九年时,希腊联军兵临城下,特洛伊危在旦夕,特洛伊的长老们坐在城楼上,海伦来到城楼上,他们说出了为这样的美女打这么一场战争,并不后悔。
可惜今天要说的海伦,不是一个美女,甚至不是一个女性,而是一个男性,网上的配图是个大络腮胡的男人。
海伦生平未知,推测是希腊公元62年左右生活的人,大致在亚历山大城教过数学和物理等课程,是古希腊数学家,力学家和机械学家。
他编著的有《度量论》,《武器制造法》,《测量仪器》,《气体力学》,《自动机建造技术》,《定义》,《几何》《测量》《测体积学》等。神奇的是竟然都没有失传。
《度量论》本来以为遗失了,但是1896年德国人舍内(R.Schone)在君士坦丁堡发现了他编著的《度量论》一本手抄本,于1903年由其子H·舍内校订出版,其中海伦公式的证明就记录于此书第二卷。
实则历史学家推论海伦的生活时代也很有意思,大家可以百度看看,列如通过某个著作,得出他生活在某个时代之前,通过某个著作得出他生活在某个时代之后,最后根据他著作里的月食得出他必定生活在公元62年左右,由于月食的时间是可以推算并且固定的。如果没记错历史上许多模糊的时间,都可以通过文献记录当时的日月食推算出具体时间。有时候时间就是这么奇妙。
海伦公式的在四边形的推广
当我们发现三角形的海伦公式后,就会有人想把它推广到四边形,五边形,六边形……甚至n边形。
不过,我们都知道四边形是不稳定的,甚至五边形,六边形……n边形都是不稳定的。
我们一般计算某四边形的面积,就必须添加其他的限定条件,列如角或者对角线等等。
波罗摩及多(公元598-660)就给出一个圆内接四边形的面积公式,四边长分别是a,b,c,d,p=(a+b+c+d)/2

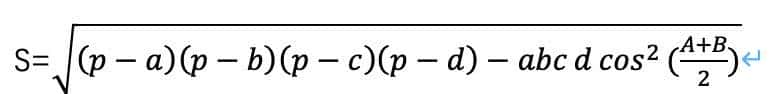
在对于一般的四边形,依然有面积公式:

A+B为四边形对角和,同样C+D也为另一对对角和。
那么圆内接四边形的对角和的一半就等于90度,余弦为0。
说一下:我百科了一个公式出来,当时有一点疑惑这个公式
既然是对角和一半,后来公式里又有2倍,那为什么不直接用对角和呢?然后带着疑问就查查资料,自己证明下,发现百科的公式是错误的。

















- 最新
- 最热
只看作者